МЫ ПРЕДЛАГАЕМ
На что следует обращать внимание при проектировании пневматических установок?
Содержание
На что нужно обратить внимание при проектировании пневматической установки?.
Принципы проектирования установок сжатого воздуха.
Основной целью установки сжатого воздуха.
На что нужно обратить внимание при проектировании пневматической установки?
Принципы проектирования установок сжатого воздуха
Проектирование систем сжатого воздуха является вопросом, который на первый взгляд кажется простым, но на практике не самый легкий. Неправильно рассчитанные и установленные системы могут привести к большим потерям энергии и значительному падению давления в сети.
Установки сжатого воздуха
При проектировании установки сжатого воздуха следует учесть несколько важных параметров, в частности: шероховатость материала, из которого проектируем установку, давление, которое хотим поддерживать в сети, скорость потока воздуха и предполагаемое падение давления в самой отдаленной точке отбора.
Чаще всего различают два типа установок сжатого воздуха, а именно:
- линейная установка

- Кольцевая установка (рекомендуется)

Кольцевая установка является наиболее предпочтительной установкой, учитывая лучшую стабилизацию давления в сети и лучшую релокацию производственных машин.
При проектировании установки сжатого воздуха следует помнить, что скорость потока в главной распределительной магистрали не должна превышать 10 м/с, при этом рекомендуемая скорость составляет 6-7 м/с (максимальный перепад давления 1,5-2,5% номинального значения, при котором работает сеть). При ответвлениях к точкам отбора допустимая скорость составляет 15 м/с при условии, что длина ответвления не превышает 15 м/с.
Основной целью установки сжатого воздуха
Основной целью хорошо спроектированной установки сжатого воздуха является достижение падения давления в самой отдаленной точке потребления не более 0,1 - 0,2 бара.
Важным элементом, на который следует обратить внимание, является тот факт, что когда компрессорная находится на значительном расстоянии от основной кольцевой установки, участок, соединяющий компрессорный с основной установкой, также должен быть подведен с целью получения падения давления, не превышающего макс. 0,2 бара.
Например:
Была выбрана кольцевая установка диаметром D50 с перепадом 0,11 бар и магистраль, соединяющая компрессорную, длиной 60 м, диаметром D63 с перепадом 0,09 бар. Всего это дает нам перепад в самой отдаленной точке отбора 0,2 бар.
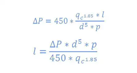
Для расчета перепада давления в сети или длины установки при заданном перепаде можно воспользоваться следующими формулами:

Где:
l – длина установки
ΔP – падение давления
Qc – расход воздуха FAD (л/с)
D – внутренний диаметр трубы
P – давление
450 – коэффициент трения для новых оцинкованных труб.
Для сравнения: алюминиевые трубы имеют коэффициент трения на уровне 280, а черные корродированные трубы – 800.
Элементом, на который следует обратить внимание, является компенсация установки. Различные материалы имеют разные коэффициенты удлинения. Удлинение алюминиевых труб составляет 0,024 мм/м*oC. Каждое изменение направления строящейся инсталляции является так называемой природной компенсацией. В случае, если мы не можем компенсировать установку с помощью колена, необходимо использовать U-образные компенсаторы, которые может подобрать поставщик системы.
Отводы к точкам отбора от основной установки следует выполнять в виде так называемых «лебединых шеек», что исключит возможность попадания конденсата или загрязнений к приемникам. В новых технологиях, таких как алюминиевые системы, учитывая, что это чистые установки, отводы можно выполнить со стороны главного трубопровода или, в случае системы Infinity, непосредственно вниз с помощью запатентованного тройника, оснащенного сепарационной вставкой, защищающей от попадания возможного конденсата в производственные машины.
Пример компрессорной:

Наши консультанты оказывают помощь в выборе и проектировании новых установок сжатого воздуха, а также модернизации существующих пневматических систем.
Автор








