МИ ПРОПОНУЄМО
На що слід звертати увагу при проектуванні пневматичних установок?
Зміст
На що слід звернути увагу при проектуванні пневматичної установки?.
Принципи проектування установок стисненого повітря.
Основная цель хорошо спроектированной установки сжатого воздуха.
На що слід звернути увагу при проектуванні пневматичної установки?
Принципи проектування установок стисненого повітря
Проектування систем стисненого повітря є питанням, яке на перший погляд здається простим, але на практиці не є найлегшим. Неправильно розраховані та встановлені системи можуть призвести до великих втрат енергії та значного падіння тиску в мережі.
Утановки стисненого повітря
При проектуванні установки стисненого повітря слід врахувати кілька важливих параметрів, зокрема: шорсткість матеріалу, з якого проектуємо установку, тиск, який хочемо підтримувати в мережі, швидкість потоку повітря та передбачуване падіння тиску в найвіддаленішій точці відбору.
Найчастіше розрізняють два типи установок стисненого повітря, а саме:
- лінійна установка

- Кільцева установка (рекомендовано)

Кільцева установка є найбільш переважною установкою з огляду на кращу стабілізацію тиску в мережі та кращу релокацію виробничих машин.
При проектуванні установки стисненого повітря слід пам'ятати, що швидкість потоку в головній розподільній магістралі не повинна перевищувати 10 м/с, при цьому рекомендована швидкість становить 6-7 м/с (максимальний перепад тиску 1,5-2,5% від номінального значення, при якому працює мережа). При відгалуженнях до точок відбору допустима швидкість становить 15 м/с за умови, що довжина відгалуження не перевищує 15 м.
Основная цель хорошо спроектированной установки сжатого воздуха
Основною метою добре спроектованої установки стисненого повітря є досягнення падіння тиску в найвіддаленішій точці споживання, не більше ніж 0,1 - 0,2 бара.
Важливим елементом, на який слід звернути увагу, є той факт, що коли компресорна знаходиться на значній відстані від основної кільцевої установки, ділянка, що з'єднує компресорну з основною установкою, також повинна бути підсумована з метою отримання падіння тиску, що не перевищує макс. 0,2 бара.
Наприклад:
Було обрано кільцеву установку діаметром D50 з перепадом 0,11 бар та магістраль, що з'єднує компресорну, довжиною 60 м, діаметром D63 з перепадом 0,09 бар. Всього це дає нам перепад у найвіддаленішій точці відбору 0,2 бар.
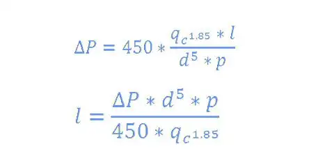
Для розрахунку перепаду тиску в мережі або довжини установки при заданому перепаді можна скористатися наступними формулами:

Де:
l - довжина установки
ΔP - падіння тиску
Qc - витрата повітря FAD (л/с)
D - внутрішній діаметр труби
P - тиск
450 – коефіцієнт тертя для нових оцинкованих труб.
Для порівняння: алюмінієві труби мають коефіцієнт тертя на рівні 280, а чорні кородовані труби - аж 800.
Елементом, на який також слід звернути увагу, є компенсація установки. Різні матеріали мають різні коефіцієнти подовження. Подовження алюмінієвих труб становить 0,024 мм/м*oC. Кожна зміна напрямку будуємої інсталяції є так званою природною компенсацією. У випадку, якщо ми не можемо компенсувати інсталяцію за допомогою коліна, необхідно застосувати U-подібні компенсатори, які може підібрати постачальник системи.
Відводи до точок відбору від основної установки слід виконувати у вигляді так званих «лебединих шийок», що унеможливить потрапляння конденсату або забруднень до приймачів. У нових технологіях, таких як алюмінієві системи, з огляду на те, що це «чисті» установки, відводи можна виконати з боку головного трубопроводу або, у випадку системи Infinity, безпосередньо вниз за допомогою запатентованого трійника, оснащеного сепараційною вставкою, яка захищає від потрапляння можливого конденсату до виробничих машин.
Приклад компресорної:

Наші консультанти надають допомогу у виборі та проектуванні нових установок стисненого повітря, а також у модернізації існуючих пневматичних систем.
Автор








